Last updated: Apr 18, 2026

Singapore Condo PriceRivelle Tampines

Rivelle Tampines

Condo Details

Project Name Rivelle Tampines
Street Tampines Street 95
District 18 - Pasir Ris, Simei, Tampines
Market Segment OCR - Outside Central Region
Lease 99 years leasehold
Age 99 years leasehold Years

Price Meter

Avg Price Gain

-0.57%

trend

PSF Price

chart_img chart_img

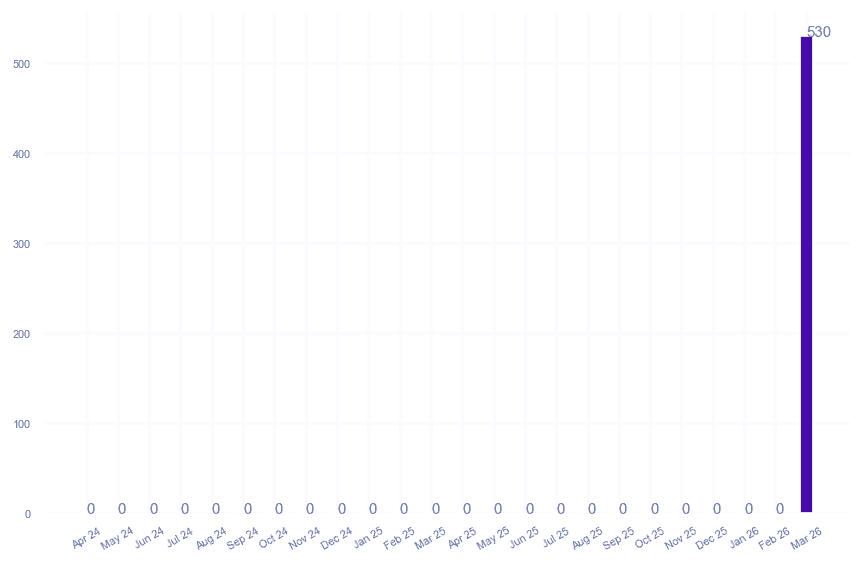
Sales Transactions

530

Transactions

value_img value_img

Transaction Details

12 months

Unit Price Size Date
$1,827,000
$1,973 psf
926 sqft Mar 26 arrow link to go on details of the transaction
$1,791,000
$1,934 psf
926 sqft Mar 26 arrow link to go on details of the transaction
$1,723,000
$1,861 psf
926 sqft Mar 26 arrow link to go on details of the transaction
$1,728,000
$1,866 psf
926 sqft Mar 26 arrow link to go on details of the transaction
$1,770,000
$1,911 psf
926 sqft Mar 26 arrow link to go on details of the transaction

Rental Summary

No rental data found
Beds Rent Rental Yeild

Condo Details

Project Name Rivelle Tampines
Street Tampines Street 95
District 18 - Pasir Ris, Simei, Tampines
Market Segment OCR - Outside Central Region
Lease 99 years leasehold
Age 99 years leasehold Years

Price Meter

Avg Price Gain

-0.57%

trend

PSF Price

chart_img chart_img

Sales Transactions

530

Transactions

value_img value_img

Transaction Details

24 months

Unit Price Size Date
$1,827,000
$1,973 psf
926 sqft Mar 26 arrow link to go on details of the transaction
$1,791,000
$1,934 psf
926 sqft Mar 26 arrow link to go on details of the transaction
$1,723,000
$1,861 psf
926 sqft Mar 26 arrow link to go on details of the transaction
$1,728,000
$1,866 psf
926 sqft Mar 26 arrow link to go on details of the transaction
$1,770,000
$1,911 psf
926 sqft Mar 26 arrow link to go on details of the transaction

Rental Summary

No rental data found
Beds Rent Rental Yeild

Condo Details

Project Name Rivelle Tampines
Street Tampines Street 95
District 18 - Pasir Ris, Simei, Tampines
Market Segment OCR - Outside Central Region
Lease 99 years leasehold
Age 99 years leasehold Years

Price Meter

Avg Price Gain

-0.57%

trend

PSF Price

chart_img chart_img

Sales Transactions

530

Transactions

value_img value_img

Rental Summary

No rental data found
Beds Rent Rental Yeild
Map showing condominium $propertyname