Last updated: Nov 11, 2025

Singapore Condo PriceZyon Grand

Zyon Grand

Condo Details

Project Name Zyon Grand
Street Kim Seng Road
District 3 - Alexandra, Queenstown, Redhill, Tiong Bahru
Market Segment RCR - Rest of Central Region
Lease 99 years leasehold
Age 99 years leasehold Years

Price Meter

Avg Price Gain

-0.43%

trend

PSF Price

chart_img chart_img

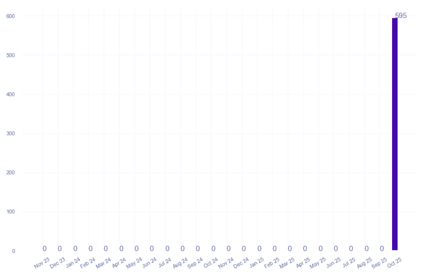
Sales Transactions

595

Transactions

value_img value_img

Transaction Details

12 months

Unit Price Size Date
$2,570,000
$2,985 psf
861 sqft Oct 25 arrow link to go on details of the transaction
$2,854,000
$3,315 psf
861 sqft Oct 25 arrow link to go on details of the transaction
$2,812,000
$3,266 psf
861 sqft Oct 25 arrow link to go on details of the transaction
$2,770,000
$3,217 psf
861 sqft Oct 25 arrow link to go on details of the transaction
$2,842,000
$3,301 psf
861 sqft Oct 25 arrow link to go on details of the transaction

Rental Summary

No rental data found
Beds Rent Rental Yeild

Condo Details

Project Name Zyon Grand
Street Kim Seng Road
District 3 - Alexandra, Queenstown, Redhill, Tiong Bahru
Market Segment RCR - Rest of Central Region
Lease 99 years leasehold
Age 99 years leasehold Years

Price Meter

Avg Price Gain

-0.43%

trend

PSF Price

chart_img chart_img

Sales Transactions

595

Transactions

value_img value_img

Transaction Details

24 months

Unit Price Size Date
$2,570,000
$2,985 psf
861 sqft Oct 25 arrow link to go on details of the transaction
$2,854,000
$3,315 psf
861 sqft Oct 25 arrow link to go on details of the transaction
$2,812,000
$3,266 psf
861 sqft Oct 25 arrow link to go on details of the transaction
$2,770,000
$3,217 psf
861 sqft Oct 25 arrow link to go on details of the transaction
$2,842,000
$3,301 psf
861 sqft Oct 25 arrow link to go on details of the transaction

Rental Summary

No rental data found
Beds Rent Rental Yeild

Condo Details

Project Name Zyon Grand
Street Kim Seng Road
District 3 - Alexandra, Queenstown, Redhill, Tiong Bahru
Market Segment RCR - Rest of Central Region
Lease 99 years leasehold
Age 99 years leasehold Years

Price Meter

Avg Price Gain

-0.43%

trend

PSF Price

chart_img chart_img

Sales Transactions

595

Transactions

value_img value_img

Rental Summary

No rental data found
Beds Rent Rental Yeild
Map showing condominium $propertyname